hello-algo/docs/chapter_computational_complexity/iteration_and_recursion.md

15 KiB
Raw Blame History

迭代与递归

在数据结构与算法中,重复执行某个任务是很常见的,其与算法的复杂度密切相关。而要重复执行某个任务,我们通常会选用两种基本的程序结构:迭代和递归。

迭代

「迭代 iteration」是一种重复执行某个任务的控制结构。在迭代中程序会在满足一定的条件下重复执行某段代码直到这个条件不再满足。

for 循环

for 循环是最常见的迭代形式之一,适合预先知道迭代次数时使用

以下函数基于 for 循环实现了求和 1 + 2 + \dots + n ,求和结果使用变量 res 记录。需要注意的是Python 中 range(a, b) 对应的区间是“左闭右开”的,对应的遍历范围为 a, a + 1, \dots, b-1

=== "Python"

```python title="iteration.py"
[class]{}-[func]{for_loop}
```

=== "C++"

```cpp title="iteration.cpp"
[class]{}-[func]{forLoop}
```

=== "Java"

```java title="iteration.java"
[class]{iteration}-[func]{forLoop}
```

=== "C#"

```csharp title="iteration.cs"
[class]{iteration}-[func]{forLoop}
```

=== "Go"

```go title="iteration.go"
[class]{}-[func]{forLoop}
```

=== "Swift"

```swift title="iteration.swift"
[class]{}-[func]{forLoop}
```

=== "JS"

```javascript title="iteration.js"
[class]{}-[func]{forLoop}
```

=== "TS"

```typescript title="iteration.ts"
[class]{}-[func]{forLoop}
```

=== "Dart"

```dart title="iteration.dart"
[class]{}-[func]{forLoop}
```

=== "Rust"

```rust title="iteration.rs"
[class]{}-[func]{for_loop}
```

=== "C"

```c title="iteration.c"
[class]{}-[func]{forLoop}
```

=== "Zig"

```zig title="iteration.zig"
[class]{}-[func]{forLoop}
```

下图展示了该求和函数的流程框图。

求和函数的流程框图

此求和函数的操作数量与输入数据大小 n 成正比,或者说成“线性关系”。实际上,时间复杂度描述的就是这个“线性关系”。相关内容将会在下一节中详细介绍。

while 循环

for 循环类似,while 循环也是一种实现迭代的方法。在 while 循环中,程序每轮都会先检查条件,如果条件为真则继续执行,否则就结束循环。

下面,我们用 while 循环来实现求和 1 + 2 + \dots + n

=== "Python"

```python title="iteration.py"
[class]{}-[func]{while_loop}
```

=== "C++"

```cpp title="iteration.cpp"
[class]{}-[func]{whileLoop}
```

=== "Java"

```java title="iteration.java"
[class]{iteration}-[func]{whileLoop}
```

=== "C#"

```csharp title="iteration.cs"
[class]{iteration}-[func]{whileLoop}
```

=== "Go"

```go title="iteration.go"
[class]{}-[func]{whileLoop}
```

=== "Swift"

```swift title="iteration.swift"
[class]{}-[func]{whileLoop}
```

=== "JS"

```javascript title="iteration.js"
[class]{}-[func]{whileLoop}
```

=== "TS"

```typescript title="iteration.ts"
[class]{}-[func]{whileLoop}
```

=== "Dart"

```dart title="iteration.dart"
[class]{}-[func]{whileLoop}
```

=== "Rust"

```rust title="iteration.rs"
[class]{}-[func]{while_loop}
```

=== "C"

```c title="iteration.c"
[class]{}-[func]{whileLoop}
```

=== "Zig"

```zig title="iteration.zig"
[class]{}-[func]{whileLoop}
```

while 循环中,由于初始化和更新条件变量的步骤是独立在循环结构之外的,因此它比 for 循环的自由度更高

例如在以下代码中,条件变量 i 每轮进行了两次更新,这种情况就不太方便用 for 循环实现。

=== "Python"

```python title="iteration.py"
[class]{}-[func]{while_loop_ii}
```

=== "C++"

```cpp title="iteration.cpp"
[class]{}-[func]{whileLoopII}
```

=== "Java"

```java title="iteration.java"
[class]{iteration}-[func]{whileLoopII}
```

=== "C#"

```csharp title="iteration.cs"
[class]{iteration}-[func]{whileLoopII}
```

=== "Go"

```go title="iteration.go"
[class]{}-[func]{whileLoopII}
```

=== "Swift"

```swift title="iteration.swift"
[class]{}-[func]{whileLoopII}
```

=== "JS"

```javascript title="iteration.js"
[class]{}-[func]{whileLoopII}
```

=== "TS"

```typescript title="iteration.ts"
[class]{}-[func]{whileLoopII}
```

=== "Dart"

```dart title="iteration.dart"
[class]{}-[func]{whileLoopII}
```

=== "Rust"

```rust title="iteration.rs"
[class]{}-[func]{while_loop_ii}
```

=== "C"

```c title="iteration.c"
[class]{}-[func]{whileLoopII}
```

=== "Zig"

```zig title="iteration.zig"
[class]{}-[func]{whileLoopII}
```

总的来说,for 循环的代码更加紧凑,while 循环更加灵活,两者都可以实现迭代结构。选择使用哪一个应该根据特定问题的需求来决定。

嵌套循环

我们可以在一个循环结构内嵌套另一个循环结构,以 for 循环为例:

=== "Python"

```python title="iteration.py"
[class]{}-[func]{nested_for_loop}
```

=== "C++"

```cpp title="iteration.cpp"
[class]{}-[func]{nestedForLoop}
```

=== "Java"

```java title="iteration.java"
[class]{iteration}-[func]{nestedForLoop}
```

=== "C#"

```csharp title="iteration.cs"
[class]{iteration}-[func]{nestedForLoop}
```

=== "Go"

```go title="iteration.go"
[class]{}-[func]{nestedForLoop}
```

=== "Swift"

```swift title="iteration.swift"
[class]{}-[func]{nestedForLoop}
```

=== "JS"

```javascript title="iteration.js"
[class]{}-[func]{nestedForLoop}
```

=== "TS"

```typescript title="iteration.ts"
[class]{}-[func]{nestedForLoop}
```

=== "Dart"

```dart title="iteration.dart"
[class]{}-[func]{nestedForLoop}
```

=== "Rust"

```rust title="iteration.rs"
[class]{}-[func]{nested_for_loop}
```

=== "C"

```c title="iteration.c"
[class]{}-[func]{nestedForLoop}
```

=== "Zig"

```zig title="iteration.zig"
[class]{}-[func]{nestedForLoop}
```

下图给出了该嵌套循环的流程框图。

嵌套循环的流程框图

在这种情况下,函数的操作数量与 n^2 成正比,或者说算法运行时间和输入数据大小 n 成“平方关系”。

我们可以继续添加嵌套循环,每一次嵌套都是一次“升维”,将会使时间复杂度提高至“立方关系”、“四次方关系”、以此类推。

递归

「递归 recursion」是一种算法策略通过函数调用自身来解决问题。它主要包含两个阶段。

  1. :程序不断深入地调用自身,通常传入更小或更简化的参数,直到达到“终止条件”。
  2. :触发“终止条件”后,程序从最深层的递归函数开始逐层返回,汇聚每一层的结果。

而从实现的角度看,递归代码主要包含三个要素。

  1. 终止条件:用于决定什么时候由“递”转“归”。
  2. 递归调用:对应“递”,函数调用自身,通常输入更小或更简化的参数。
  3. 返回结果:对应“归”,将当前递归层级的结果返回至上一层。

观察以下代码,我们只需调用函数 recur(n) ,就可以完成 1 + 2 + \dots + n 的计算:

=== "Python"

```python title="recursion.py"
[class]{}-[func]{recur}
```

=== "C++"

```cpp title="recursion.cpp"
[class]{}-[func]{recur}
```

=== "Java"

```java title="recursion.java"
[class]{recursion}-[func]{recur}
```

=== "C#"

```csharp title="recursion.cs"
[class]{recursion}-[func]{recur}
```

=== "Go"

```go title="recursion.go"
[class]{}-[func]{recur}
```

=== "Swift"

```swift title="recursion.swift"
[class]{}-[func]{recur}
```

=== "JS"

```javascript title="recursion.js"
[class]{}-[func]{recur}
```

=== "TS"

```typescript title="recursion.ts"
[class]{}-[func]{recur}
```

=== "Dart"

```dart title="recursion.dart"
[class]{}-[func]{recur}
```

=== "Rust"

```rust title="recursion.rs"
[class]{}-[func]{recur}
```

=== "C"

```c title="recursion.c"
[class]{}-[func]{recur}
```

=== "Zig"

```zig title="recursion.zig"
[class]{}-[func]{recur}
```

下图展示了该函数的递归过程。

求和函数的递归过程

虽然从计算角度看,迭代与递归可以得到相同的结果,但它们代表了两种完全不同的思考和解决问题的范式

  • 迭代:“自下而上”地解决问题。从最基础的步骤开始,然后不断重复或累加这些步骤,直到任务完成。
  • 递归:“自上而下”地解决问题。将原问题分解为更小的子问题,这些子问题和原问题具有相同的形式。接下来将子问题继续分解为更小的子问题,直到基本情况时停止(基本情况的解是已知的)。

以上述的求和函数为例,设问题 f(n) = 1 + 2 + \dots + n

  • 迭代:在循环中模拟求和过程,从 1 遍历到 n ,每轮执行求和操作,即可求得 f(n)
  • 递归:将问题分解为子问题 f(n) = n + f(n-1) ,不断(递归地)分解下去,直至基本情况 f(0) = 0 时终止。

调用栈

递归函数每次调用自身时,系统都会为新开启的函数分配内存,以存储局部变量、调用地址和其他信息等。这将导致两方面的结果。

  • 函数的上下文数据都存储在称为“栈帧空间”的内存区域中,直至函数返回后才会被释放。因此,递归通常比迭代更加耗费内存空间
  • 递归调用函数会产生额外的开销。因此递归通常比循环的时间效率更低

如下图所示,在触发终止条件前,同时存在 n 个未返回的递归函数,递归深度为 $n$

递归调用深度

在实际中,编程语言允许的递归深度通常是有限的,过深的递归可能导致栈溢出报错。

尾递归

有趣的是,如果函数在返回前的最后一步才进行递归调用,则该函数可以被编译器或解释器优化,使其在空间效率上与迭代相当。这种情况被称为「尾递归 tail recursion」。

  • 普通递归:当函数返回到上一层级的函数后,需要继续执行代码,因此系统需要保存上一层调用的上下文。
  • 尾递归:递归调用是函数返回前的最后一个操作,这意味着函数返回到上一层级后,无需继续执行其他操作,因此系统无需保存上一层函数的上下文。

以计算 1 + 2 + \dots + n 为例,我们可以将结果变量 res 设为函数参数,从而实现尾递归。

=== "Python"

```python title="recursion.py"
[class]{}-[func]{tail_recur}
```

=== "C++"

```cpp title="recursion.cpp"
[class]{}-[func]{tailRecur}
```

=== "Java"

```java title="recursion.java"
[class]{recursion}-[func]{tailRecur}
```

=== "C#"

```csharp title="recursion.cs"
[class]{recursion}-[func]{tailRecur}
```

=== "Go"

```go title="recursion.go"
[class]{}-[func]{tailRecur}
```

=== "Swift"

```swift title="recursion.swift"
[class]{}-[func]{tailRecur}
```

=== "JS"

```javascript title="recursion.js"
[class]{}-[func]{tailRecur}
```

=== "TS"

```typescript title="recursion.ts"
[class]{}-[func]{tailRecur}
```

=== "Dart"

```dart title="recursion.dart"
[class]{}-[func]{tailRecur}
```

=== "Rust"

```rust title="recursion.rs"
[class]{}-[func]{tail_recur}
```

=== "C"

```c title="recursion.c"
[class]{}-[func]{tailRecur}
```

=== "Zig"

```zig title="recursion.zig"
[class]{}-[func]{tailRecur}
```

两种递归的过程对比如下图所示。

  • 普通递归:求和操作是在“归”的过程中执行的,每层返回后都要再执行一次求和操作。
  • 尾递归:求和操作是在“递”的过程中执行的,“归”的过程只需层层返回。

尾递归过程

请注意许多编译器或解释器并不支持尾递归优化。例如Python 默认不支持尾递归优化,因此即使函数是尾递归形式,但仍然可能会遇到栈溢出问题。

递归树

当处理与“分治”相关的算法问题时,递归往往比迭代的思路更加直观、代码更加易读。以“斐波那契数列”为例。

!!! question

给定一个斐波那契数列 $0, 1, 1, 2, 3, 5, 8, 13, \dots$ ,求该数列的第 $n$ 个数字。

设斐波那契数列的第 n 个数字为 f(n) ,易得两个结论。

  • 数列的前两个数字为 f(1) = 0f(2) = 1
  • 数列中的每个数字是前两个数字的和,即 f(n) = f(n - 1) + f(n - 2)

按照递推关系进行递归调用,将前两个数字作为终止条件,便可写出递归代码。调用 fib(n) 即可得到斐波那契数列的第 n 个数字。

=== "Python"

```python title="recursion.py"
[class]{}-[func]{fib}
```

=== "C++"

```cpp title="recursion.cpp"
[class]{}-[func]{fib}
```

=== "Java"

```java title="recursion.java"
[class]{recursion}-[func]{fib}
```

=== "C#"

```csharp title="recursion.cs"
[class]{recursion}-[func]{fib}
```

=== "Go"

```go title="recursion.go"
[class]{}-[func]{fib}
```

=== "Swift"

```swift title="recursion.swift"
[class]{}-[func]{fib}
```

=== "JS"

```javascript title="recursion.js"
[class]{}-[func]{fib}
```

=== "TS"

```typescript title="recursion.ts"
[class]{}-[func]{fib}
```

=== "Dart"

```dart title="recursion.dart"
[class]{}-[func]{fib}
```

=== "Rust"

```rust title="recursion.rs"
[class]{}-[func]{fib}
```

=== "C"

```c title="recursion.c"
[class]{}-[func]{fib}
```

=== "Zig"

```zig title="recursion.zig"
[class]{}-[func]{fib}
```

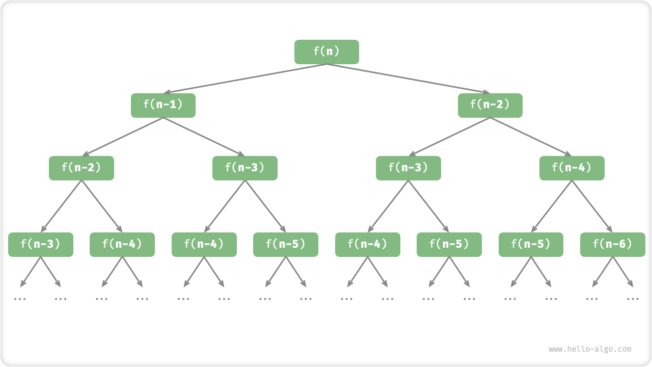
观察以上代码,我们在函数内递归调用了两个函数,这意味着从一个调用产生了两个调用分支。如下图所示,这样不断递归调用下去,最终将产生一个层数为 n 的「递归树 recursion tree」。

斐波那契数列的递归树

本质上看,递归体现“将问题分解为更小子问题”的思维范式,这种分治策略是至关重要的。

  • 从算法角度看,搜索、排序、回溯、分治、动态规划等许多重要算法策略都直接或间接地应用这种思维方式。
  • 从数据结构角度看,递归天然适合处理链表、树和图的相关问题,因为它们非常适合用分治思想进行分析。