This website requires JavaScript.
Explore
Help
Sign In
github
/
hello-algo
Watch
1
Star
0
Fork
0
You've already forked hello-algo
Code
Issues
Pull Requests
Actions
Packages
Projects
Releases
Wiki
Activity
57851ab11e
hello-algo
/
docs
/
chapter_computational_complexity
/
iteration_and_recursion.assets
/
recursion_tree.png
Yudong Jin
3e64f68ae9
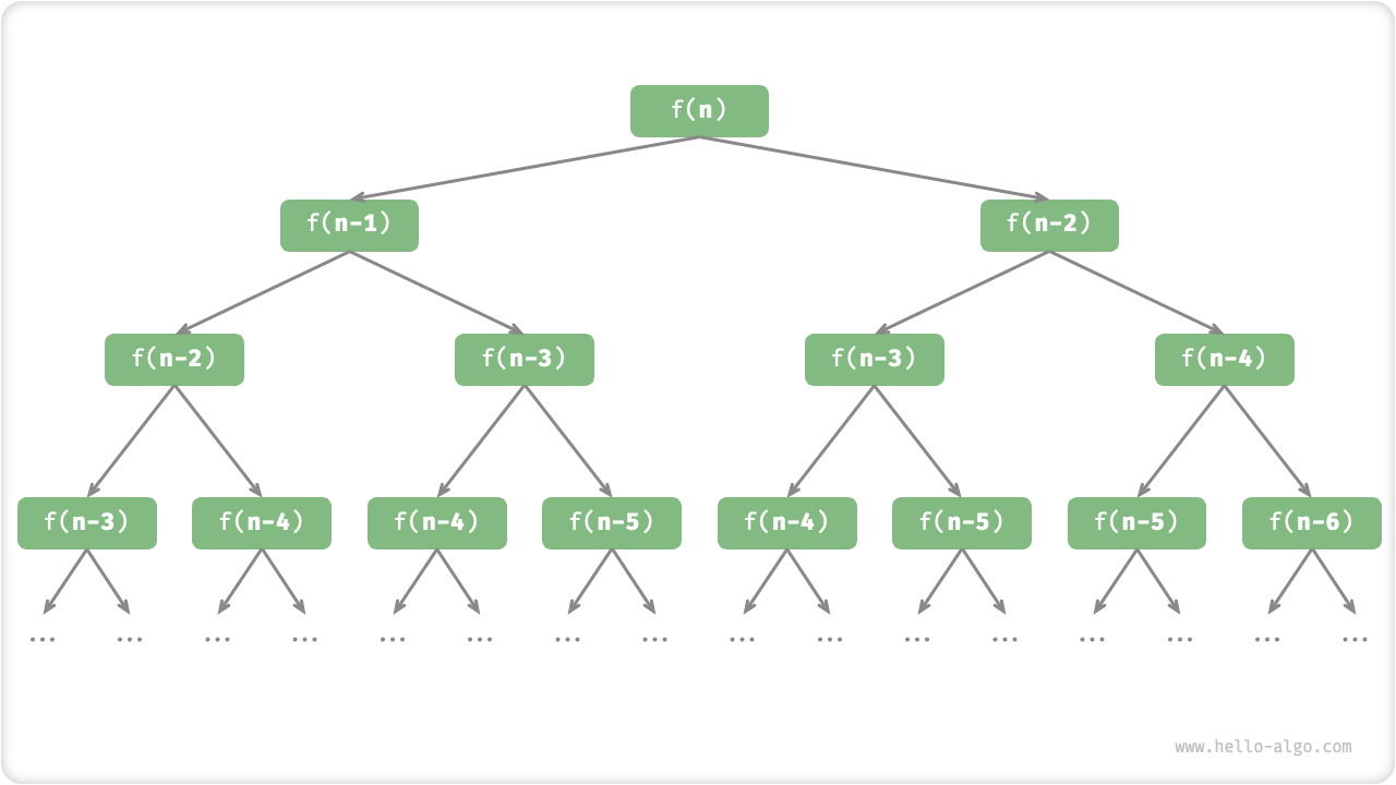
Add the section of iteration and recursion. (
#693
)
2023-08-24 17:51:41 +08:00
54 KiB
1280x720px
Raw
History