This website requires JavaScript.
Explore
Help
Sign In
github
/
hello-algo
Watch
1
Star
0
Fork
0
You've already forked hello-algo
Code
Issues
Pull Requests
Actions
Packages
Projects
Releases
Wiki
Activity
6b2d6f44c8
hello-algo
/
chapter_computational_complexity
/
iteration_and_recursion.assets
/
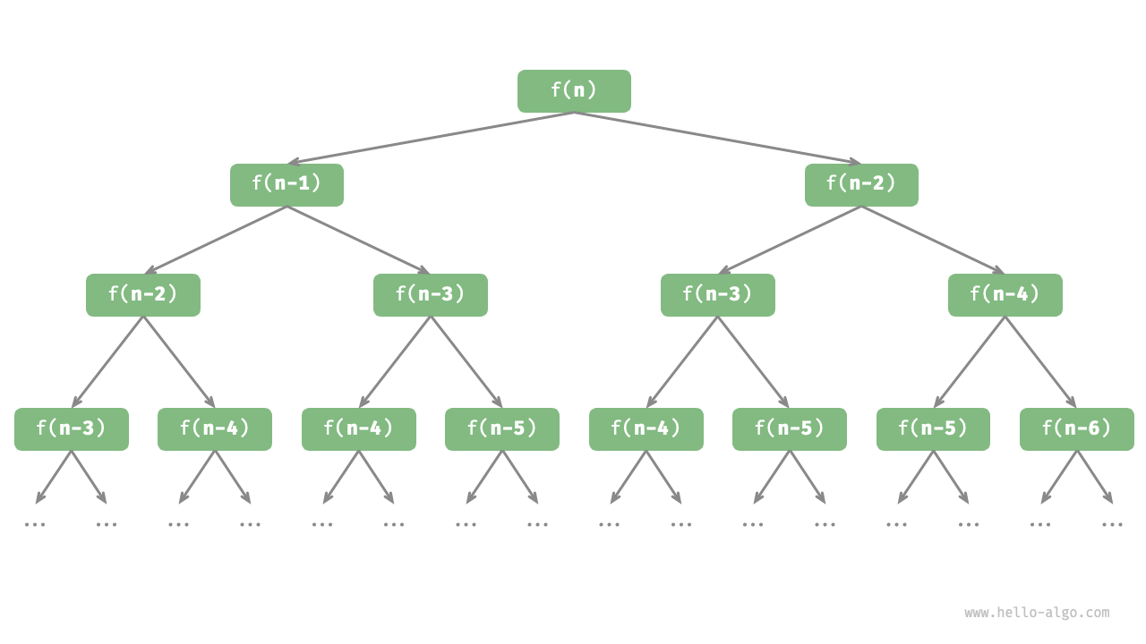
recursion_tree.png
krahets
98cd7dd2ac
deploy
2023-12-28 22:35:06 +08:00
12 KiB
1280x720px
Raw
History